Title

Weather variables influence dry-matter intake in beef steers

(AS2040-9, September 2021)
Summary

The objective of this study was to examine the relationship between weather variables (ambient temperature, range of temperature, solar radiation, dew point and wind speed) and dry-matter intake (DMI). Weather variables interacted and accounted for 44.9% of additional variation in beef steers after accounting for body weight, dietary energy density and time of year effects. This will increase the accuracy of DMI prediction equations for more accurate estimates of nutrient intake and better management of feed resources in beef cattle production.

This article is part of the 2021 North Dakota Livestock Research Report.

Lead Author
Lead Author:
Mustapha Yusuf, Animal Sciences Department, 线上赌博app
Other Authors

Kendall Swanson, Lauren Hulsman Hanna, and Marc Bauer

Availability
Availability:
Web only
Publication Sections

Summary

Current DMI equations are not adequate for beef cattle in the northern Great Plains. The objective of this study was to account for additional variation in dry-mater intake as a result of weather. Condensed intake data (13,895 steerweek observations) from 790 beef steers collected through an Insentec feeding system from 2011 to 2017 were utilized to examine the relationship between DMI and weather variables. Weather variables modeled were ambient temperature, solar radiation, range of temperature, dew point, wind speed, and two-week and monthly lag of each weather variable listed. We found that weather variables accounted for an additional 44.9% in the variation of DMI after accounting for body weight, dietary energy density and time of year effects. This study has facilitated a better understanding of the weather factors that influence DMI in beef steers, which will help producers manage their feed resources efficiently and improve estimates of nutrient intake.

Introduction

Feed accounts for more than 70% of the cost of production. Any feeding system that will increase the efficiency of feed management will result in reducing the total cost of production. Limited information exists on how weather variables impact DMI in beef steers in the northern Great Plains of North America, where temperature can fall below minus 30 F in the winters.

DMI models developed by the National Research Council (NRC), now called the National Academies of Science, Engineering, and Medicine (NASEM), may not be adequate for these cold temperatures. Furthermore, the effects of some weather factors and their interactions have not been fully studied.

Many factors could affect feed intake, including the following: age, body weight, genotype and phenotype, health, type and quality of feed, and weather factors. All the interactions among these various factors make DMI prediction difficult.

From the weather factors, which are the focus of this report, air temperature has been the principal factor that has been considered by many authors (Mader et al., 2006). Air temperature alone is not enough in describing the thermal environment of cattle (NRC, 1981) and the rate of body heat loss or gain is dependent on wind speed, amount of moisture and other weather variables.

Studies that have examined other weather variables besides temperature were conducted in warmer climates, which are not applicable to the northern Great Plains. This study examined the relationships that exist between weather variables (ambient temperature, solar radiation, range of temperature, dew point and wind speed) and DMI. The cattle industry has changed in many ways through the years, and predicting DMI more accurately will help in improving the accuracy of DMI prediction equations, which will, in turn, help producers plan their feeding programs and improve utilization of feed resources.

Experimental Procedures

Intake data from 790 beef steers, collected through an Insentec feeding system (RIC feeding system; Hokofarm Group, Marknesse, Netherlands) that records individual intake of animals, were analyzed using a linear mixed model of SAS to examine how ambient temperature, range of temperature, solar radiation, wind speed and dew point affect dry-matter intake. Weather variable data were downloaded from the North Dakota Agricultural Weather Network.

For weather variables, we also modeled the two-week lag (average of the previous two weeks) and monthly lag (average of the previous month). All data were condensed from daily to weekly to remove day-to-day variation, and we had a total of 13,895 steer-weeks observations. The model used accounted for week of the year, experiment, body weight and dietary energy density. All modeling was done using the MIXED procedures of SAS (SAS Institute Inc., Cary, N.C.).

Results and Discussion

The significant main effect variables in our model that accounted for some variation in DMI are shown in Table 1.

Table 1: Model with significant main effects variables that influence DMI in beef steers.
Variable1 Estimates SE F-value P-value
Intercept -5.56 × 100 1.25 × 100 0.002
Week of the year --- --- 32.6 0.0001
BW, lb.
Linear 4.48 × 10-2 2.26 × 10-3 391.2 0.0001
Quadratic -3.00 × 10-5 2.26 × 10-6 155.0 0.0001
Dietary NEm, Mcal/lb.
Linear 3.84× 100 9.66 × 10-1 15.8 0.0001
Quadratic -1.35× 100 2.43 × 10-1 30.8 0.0001
Ambient temperature, 2-week lag -1.92 × 10-1 1.96 × 10-2 95.6 0.0001
Range of daily temperature, 2-week lag -1.09 × 10-1 1.04 × 10-2 110.1 0.0001
Solar radiation, 2-week lag 1.46 × 10-2 1.51 × 10-3 94.6 0.0001

1 - BW = body weight, NEm = dietary net energy of maintenance. Units are F for ambient temperature, range of temperature and W/m2 for solar radiation.

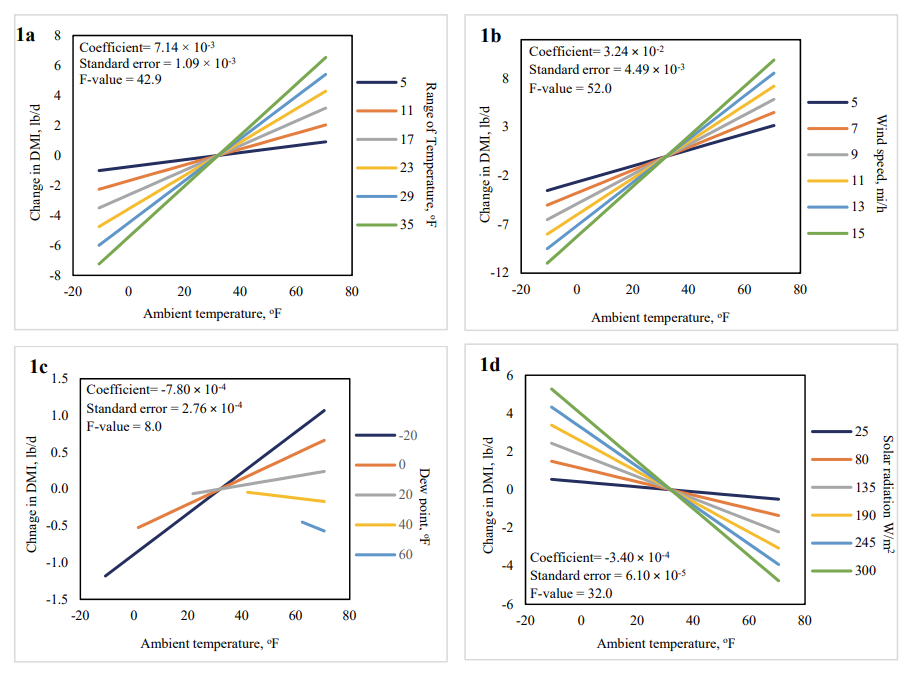
A collage of four graphs showing DMI's influence by interactions between ambient temperature and wind speed, dew point, and solar radiation.
Figure 1: How DMI is influenced by the interactions between ambient temperature and range of temperature (1a), wind speed (1b), dew point (1c) and solar radiation (1d).
A graph showing how DMI is influenced by the interaction between temperature range & dew point (2a), and wind speed & solar radiation (2b).
Figure 2: How DMI is influenced by the interaction between range of temperature and dew point (2a), and wind speed and solar radiation (2b).

The interaction between ambient temperature and range of temperature influences DMI (Figure 1a). At cold temperatures and high range (fluctuation) in temperature, we saw a decrease in DMI. At high temperature and higher fluctuation in temperature, DMI increases.

On the other hand, at either low temperature or high temperature with lesser fluctuation in temperature, we observed a minimal effect of DMI. This shows that seasons with higher fluctuation in temperature will have a greater effect on DMI of beef steers. How the interaction between ambient temperature and wind speed influences DMI is shown in Figure 1b.

At low temperature (below 0 F) and lower wind speed, we saw a small decrease in DMI. At low temperatures and high wind speed, we observed a large negative effect on DMI.

On the other hand, from above 0 F temperatures, DMI intake increases with increasing temperature and increasing wind speed, but high temperature and lower wind speed have minimal effect on DMI. Figure 1c shows how the interaction between ambient temperature and dew point influences DMI.

At cold temperature with drier air (lower dew point), we observed a negative effect on DMI. High temperatures with drier air have a positive effect on DMI but as the dew point increases at higher temperatures, DMI decreases. This is likely because at high temperature and high dew point, the air is saturated with moisture and evaporative cooling by cattle is hindered, thereby decreasing their ability to dissipate excessive heat, which directly affects DMI because they must reduce metabolic heat production.

How the interaction between ambient temperature and solar radiation influences DMI is shown in Figure 1d. At low temperature and high solar radiation, we observed an increase in DMI, but at very high temperature and high solar radiation, we saw a decrease in DMI. This suggests that DMI increases on cold and sunny days and DMI decreases on hot and sunny days.

Range of temperature and dew point interact to influence DMI (Figure 2a). When range of temperature is low, we saw little to no effect on DMI at either low or high dew point. As range of temperature increases, dry air (low dew point) has a positive association with DMI, but on the other hand, as range of temperature increases, high dew point has a negative association with DMI.

Wind speed and solar radiation interact to influence DMI (Figure 2b). Low wind speed and low solar radiation have little effect on DMI but DMI decreases with increasing solar radiation and wind speed. This suggests that when the air is hotter than the animal’s body, more wind speed increases the temperature of the animal’s body rather than dissipate heat, thereby increasing the heat load and resulting in decreased DMI.

This study showed that weather variables interact together to influence DMI and will improve the accuracy of DMI prediction equations. This will help beef cattle producers manage their feed resources efficiently.

Literature Cited

Mader, T.L., M.S. Davis and T. BrownBrandl. 2006. Environmental factors influencing heat stress in feedlot cattle. J. Anim. Sci. 84:712–719.

NRC. 1981. Effect of Environment on Nutrient requirements of Domestic Animals. National Academy Press, Washington, D.C.