Title

Silage quality and nutrient content of silage corn hybrids ensiled at varying maturities and moisture contents

(AS2040-2, September 2021)
Summary

Twelve new early and late-maturing silage corn hybrids (relative maturity from 94 to 111 days) were ensiled in laboratory silos at moisture concentrations from 60% to 72% and evaluated for nutrient concentration and quality. Generally, ensiling corn hybrids at moisture concentrations from 60% to 72% produced good-quality silage. However, silage quality (silage pH, and concentrations of lactic acid, acetic acid and total acids) increased with increasing moisture content. Reducing variation in moisture content by selecting silage corn hybrids with a narrower range in relative maturity would lead to more uniform silage quality.

This article is part of the 2021 North Dakota Livestock Research Report.

Lead Author
Lead Author:
Michael Undi, Central Grasslands Research Extension Center, 线上赌博app
Other Authors

Scott Alm, Justin Leier and Kevin Sedivec - Central Grasslands Research Extension
Center, 线上赌博app

Availability
Availability:
Web only
Publication Sections

Summary

Silage quality of early and late-maturing silage corn hybrids ensiled at varying maturities and moisture contents was evaluated. Selected corn hybrids were Mycogen 0526AM, Mycogen 1247AMXT, Mycogen TMF94L37, Dairyland 3099RA, Dairyland 3211, Croplan CP3899VT2P, Croplan CP4100SV2P, Croplan CP5000SAS3122, NK E105, Pioneer P0157AMXT, Pioneer P9608Q and Legacy L5467. Three replicates of each hybrid were ensiled in laboratory silos and stored at 21 C in a temperature-controlled room for 68 days. Moisture concentrations of the corn hybrids ranged from approximately 60% to 72% and were lower (P ≤ 0.05) in late-maturing hybrids relative to early maturing hybrids. Differences in silage quality among hybrids were mainly associated with moisture concentration at ensiling. Silage pH, and concentrations of lactic acid, acetic acid and total acids were greater (P ≤ 0.05) in hybrids ensiled at 72% moisture relative to 60% moisture. Regression analysis indicated that moisture concentration at ensiling was a significant predictor (P ≤ 0.05) of silage pH, lactic acid, acetic acid and total acids, explaining 84%, 55%, 65% and 52%, respectively, of the variation in these silage quality attributes. Reducing variation in moisture concentration by selecting silage corn hybrids with a narrower range in relative maturity would lead to more uniform silage quality.

Introduction

Corn silage is an important forage source for North Dakota’s 1.95 million beef cattle. Annually, 2.45 million tons of corn were harvested for corn silage from 151,000 acres in North Dakota during the last five years (U.S. Department of Agriculture/National Agricultural Statistics Service, 2016-2020).

The popularity of corn silage among North Dakota producers is the result of the high dry matter and nutrient yield of corn silage, as well as ease of incorporation into total mixed rations for beef cattle. Unlike hay, large amounts of corn can be conserved rapidly as silage in a short time period, thus reducing the risk of damage from inclement weather.

Seed companies are developing new silage corn hybrids that are better adapted to the climate of northern and western North Dakota (Dahlen and Meehan, 2018). Early and late-maturing silage corn hybrids are available in North Dakota and hybrid selection will depend on producer preference. Selection of hybrids with varying maturity may widen the harvest window but can cause considerable variation in moisture concentration at harvest (Coulter, 2018).

Forage moisture concentration at ensiling has substantial effects on silage fermentation (Muck and Kung, 2007). High moisture concentration increases effluent losses and clostridial fermentation, reducing the feeding value of the silage. Low moisture concentration at ensiling predisposes a silage to aerobic microbial spoilage and heating (Muck and Kung, 2007).

The moisture concentration of silage samples collected across North Dakota, ranging from 28% to 80% (Dahlen and Meehan, 2018), suggests that the quality of silages produced in North Dakota is highly variable. This study was conducted to evaluate nutrient concentration and quality of new silage corn hybrids ensiled at varying maturities and moisture concentrations.

Experimental Procedures

Silage corn hybrids were planted in experimental plots on May 28, 2020, using a John Deere 1700 MaxEmerge Plus planter. Experimental plots were on Wabek-Appam soils classified as gravelly sandy loam soils on 6% to 9% slopes. Plots were fertilized with 44.8 kilograms per hectare (kg/ha) of phosphorus (P), 22.4 kg/ha potassium (K) and 224 kg/ha urea following North Dakota Soil Testing Laboratory recommendations after soil tests. The plots were harvested on Sept. 7, 2020, using a two-row Gehl corn chopper that deposited forage directly into a Knight mixer/feed wagon equipped with a digital scale.

Early and late-maturing silage corn hybrids were evaluated for nutrient concentration and quality. The selected hybrids were Mycogen 0526AM, Mycogen 1247AMXT, Mycogen TMF94L37, Dairyland 3099RA, Dairyland 3211, Croplan CP3899VT2P, Croplan CP4100SV2P, Croplan CP5000SAS3122, NK E105, Pioneer P0157AMXT, Pioneer P9608Q and Legacy L5467. The hybrids ranged in relative maturity from 94 to 111 days.

Approximately 500 grams (g) of forage samples from three replicates of each hybrid were ensiled in 30- by 22-centimeter (cm) polyethylene bags (Sunbeam Products; foodsaver.com). The bags were vacuum-sealed using a commercial sealer (Maxvac 250, LEM Products, West Chester, Ohio, lemproducts.com) and stored at 21 C in a temperature-controlled room for 68 days. The silage corn hybrids were analyzed for silage quality at Dairyland laboratories (Dairyland Laboratories Inc., St. Cloud, Minn., lab). Starch content was determined in corn samples prior to ensilage using an enzymatic-colorimetric Method. Silage pH value was determined using a standard pH electrode (Standard Methods for the Examination of Water and Wastewater. 1995). Lactic acid, acetic acid, propionic acid, and butyric acid were analyzed by High Performance Liquid Chromatography.

Results and Discussion

The moisture concentration at the time of ensilaging was greater (P ≤ 0.05) in late-maturing hybrids (3211, CP4100SV2P, CP5000SAS3122 and E105) relative to early maturing hybrids (0526AM, P9608Q and P0157AMXT). We found no difference in crude protein (CP), neutral detergent fiber (NDF), acid detergent fiber (ADF), calcium (Ca), P, magnesium (Mg) and sulfur (S) among hybrids (results not shown).

The starch concentration ranged from 14.7% to 34.5% among hybrids and was greater (P ≤ 0.05) in early maturing hybrids relative to late-maturing hybrids. The silage pH was lower (P ≤ 0.05) in late-maturing hybrids relative to early maturing hybrids (Table 1). Concentrations of lactic and acetic acid were greater (P ≤ 0.05) in late-maturing hybrids relative to early maturing hybrids.

The ethanol concentration was low in all silages (Table 1). Ammonia as a percentage of CP was low, ranging from 3.7% to 5.2%, and did not differ among hybrids (Table 1).

Table 1. Silage acidity (pH) and concentration of organic acids, ethanol and ammonia in silage corn hybrids (1) ensiled at different maturities.
26AM AMXT 99RA 3211 VT2P SV2P SE P
pH 3.91ab 3.86bc 3.87abc 3.71f 3.84bcd 3.77def 0.03 <0.001
Lactic acid, % 6.02cde 5.76cde 6.34abcde 7.72ab 6.42abcde 6.72abcd 0.72 0.003
Acetic acid, % 1.46bcd 1.53abcd 1.64abcd 2.18a 1.83abc 1.71abcd 0.29 0.016
Butyric acid ND2 ND ND ND ND ND
Propionic acid ND ND ND ND ND ND
Total acids 7.47bcd 7.28bcd 7.64bcd 10.30a 8.25abc 8.43ab 0.91 <0.001
Lactic:Acetic3 4.13 3.83 4.16 3.67 3.71 3.74 0.39 0.111
Lactic, % total 0.5 79.2 80.6 78.7 78.7 78.8 1.6 0.102
Ethanol, % 0.48ab 0.44ab 0.44ab 0.48ab 0.42ab 0.33b 0.07 0.035
Ammonia, % CP 4.46 4.25 4.55 5.18 4.83 4.80 0.45 0.279
Table 1 (cont.). Silage acidity (pH) and concentration of organic acids, ethanol and ammonia in silage corn hybrids (1) ensiled at different maturities.
3122 E105 5467 7AMX 608Q 4L37 SE P
pH 3.75ef 3.75ef 3.82cde 3.89abc 3.89abc 3.94a 0.03 <0.001
Lactic acid, % 7.95a 7.25abc 5.46de 4.74e 5.10de 6.23bcde 0.72 0.003
Acetic acid, % 2.02ab 2.05ab 1.43bcd 1.17cd 1.10d 1.42bcd 0.29 0.016
Butyric acid ND2 ND ND ND ND
Propionic acid ND ND ND ND ND
Total acids 9.97a 9.96a 6.88bcd 5.92d 6.20bcd 7.65bcd 0.91 <0.001
Lactic:Acetic3 3.57 3.37 4.06 4.04 4.64 4.45 0.39 0.111
Lactic, % total 77.3 77.1 79.9 80.1 82.2 81.5 1.6 0.102
Ethanol, % 0.39b 0.32b 0.33b 0.41ab 0.48ab 0.57a 0.07 0.035
Ammonia, % CP 4.95 4.58 4.51 4.60 3.72 4.66 0.45 0.279

126AM = Mycogen 0526AM; AMXT = Mycogen 1247AMXT; 99RA = Dairyland 3099RA; 3211 = Dairyland 3211; VT2P = Croplan CP3899VT2P; SV2P = Croplan CP4100SV2P; 3122 = Croplan CP5000SAS3122; E105 = NK E105; 5467 = Legacy L5467; 7AMX = Pioneer P0157AMXT; 608Q = Pioneer P9608Q; 4L37 = Mycogen TMF94L37.
2Not detected.
3Lactic acid-to-acetic acid ratio.
Means within a row with different superscripts differ (P ≤ 0.05).

Differences in silage quality among hybrids largely resulted from differences in moisture concentration at the time of ensiling. Forage moisture concentration at ensiling has substantial effects on silage fermentation (Muck and Kung, 2007). Silage pH, and concentrations of lactic acid, acetic acid and total acids were greater (P ≤ 0.05) in hybrids ensiled at 72% moisture (Table 2).

Table 2. Effect of moisture concentration at ensiling on silage pH, and concentration of organic acids, ethanol and ammonia.
60% moisture 62% 64% 66% 69% 72% SE P
pH 3.90ab 3.92a 3.87bc 3.83c 3.76d 3.73d 0.022 <0.001
Lactic acid, % 5.56c 5.49c 6.04bc 5.94bc 6.98ab 7.83a 0.546 0.001
Acetic acid, % 1.28c 1.30c 1.58bc 1.63bc 1.88ab 2.10a 0.204 0.002
Butyric acid ND1 ND ND ND ND ND
Propionic acid ND ND ND ND ND ND
Total acids 6.83b 6.78b 7.46b 7.57b 9.20a 10.13a 0.695 <0.001
Lactic: Acetic2 4.39a 4.25a 4.00ab 3.88ab 3.56b 3.62b 0.273 0.027
Lactic, %total 81.4a 80.8a 79.9ab 79.3ab 77.9b 78.0b 1.13 0.019
Ethanol, % 0.48a 0.49a 0.44a 0.38ab 0.33b 0.42ab 0.047 0.020
Ammonia, %CP 4.09 4.62 4.40 4.67 4.69 5.07 0.324 0.080

1Not detected.
2Lactic acid-to-acetic acid ratio.
Means within a row with different superscripts differ (P ≤ 0.05).

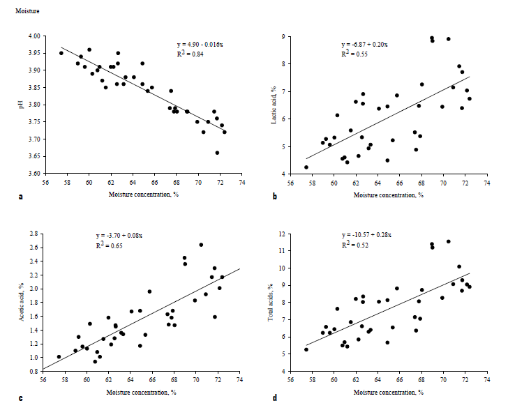
Regression analysis indicated that moisture concentration at ensiling was a significant predictor of silage pH, lactic acid, acetic acid and total acids explaining 84%, 55%, 65% and 52%, respectively, of the variance in these attributes (Figure 1). Typical corn silage will have a pH between 3.7 and 4.2, and contain 4% to 7% lactic acid, 1% to 3% acetic acid, 1% to 3% ethanol, 5% to 7% ammonia-N and no butyric acid (Kung and Shaver 2001).

Scatter plots showing moisture concentration's effect on silage pH, lactic acid, acetic acid, and total acids with corresponding R² values.
Figure 1. Effect of moisture concentration at ensiling on a) silage pH, and concentration of b) lactic acid, c) acetic acid and d) total acids.

Based on criteria for typical corn silage, ensiling corn hybrids at moisture concentrations ranging from 60% to 72% generally produced good-quality silages. Reducing variation in moisture concentration by selecting silage corn hybrids with a narrow range in relative maturity would lead to more uniform silage quality.

Acknowledgments

The authors thank Stephanie Becker, Tim Long and Cody Wieland for assistance in sample collection.

Literature Cited

Coulter, J. 2018. Selecting corn hybrids for silage production. University of Minnesota Extension. https://extension.umn.edu/corn-hybrid-selection/selecting-corn-hybrids-silage-production

Dahlen, C., and Meehan, M. 2018. Corn silage quality program. 2018 Beef and Sheep Report. P.18. www.ag.ndsu.edu/publications/livestock/2018-north-dakota-beef-and-sheep-report-1#section-26

Kung, L., and Shaver, R. 2001. Interpretation and use of silage fermentation analysis reports. Focus on Forage. Vol. 3 (no. 13): pp 1-5. https://fyi.extension.wisc.edu/forage/files/2014/01/Fermentation.pdf

Muck, R.E., and Kung, L. 2007. Silage production. In: Barnes, R.F., Nelson, C.J., Moore, K.J. and Collins, M. Editors. Forages: The Science of Grassland Agriculture, Volume II. 6th edition. Ames, Iowa: Blackwell Publishing. p. 617-633.

U.S. Department of Agriculture National Agriculture Statistics Service [USDA/NASS]. 2020. State Agriculture Overview – North Dakota. www.nass.usda.gov/Quick_Stats/Ag_Overview/stateOverview.php?state=NORTH%20DAKOTA